© William N. Goetzmann
YALE School of Management
Traduzido por L.A. Bertolo
FAFICA - Departamento de Ciências Contábeis
I. O Risco e o Retorno dos Títulos
A grande perspicácia de Markowitz era que as informações
relevantes sobre os títulos podem ser resumidas através de três
medidas: a média do retorno (tomada como a média aritmética),
o desvio-padrão dos lucros e a correlação com os outros
retornos dos ativos. A média e o desvio-padrão podem ser usados
para delinear o risco relativo e o retorno de qualquer seleção
de títulos. Considere seis classes de ativos:
(Courtesia Ibbotson Associates)
Esta figura foi construída usando o risco histórico e dados de
retorno das Small Stocks, ações S&P, Bonds Corporativos, Bonds
do Governo, e um índice acionário internacional chamado MSCI,
ou Morgan Stanley Capital International World Portfolio. A figura mostra a dificuldade
que um investidor enfrenta face a qual ativo escolher. Os eixos do gráfico
delineiam o desvio-padrão anual de lucros totais, e a média anual
dos retornos do período 1970 até 3/1995. Note que ações
pequenas provêem o retorno mais alto, mas com o risco mais alto. Em qual
classe de ativos escolheria você para investir seu dinheiro? Há
qualquer classe única de ativos que domina o resto? Note que um investidor
que prefere uma baixa estratégia de risco escolheria T-Bills, enquanto
um investidor que não se preocupa com risco escolheria Small Stocks.
Não há nenhum título que seja melhor para TODOS os investidores.
II. Portfolios de Ativos
Tipicamente, a resposta para o problema de investimento não é
a seleção de um ativo acima de todos os outros, mas a construção
de uma carteira de ativos, i.e. diversificação por vários
títulos diferentes. A chave para diversificação está
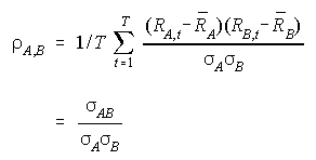
na correlação dos títulos. Lembre-se da análise
de dados e estatísticas que o coeficiente de correlação
é um valor entre -1 e 1, e mede o grau de co-movimento entre duas variáveis
aleatórias, neste caso os lucros de ação. É calculado
como:

III. Mais Títulos e Mais Diversificação
Agora considere o que acontecerá quando você põe mais
ativos na carteira. Tome o caso especial no qual a correlação
entre todos os ativos é zero, e todos eles tenham o mesmo risco. Você
achará que pode reduzir o desvio padrão da carteira misturando
vários ativos em lugar de apenas dois. Cada ponto representa uma combinação
de ativos igualmente ponderada; de uma única ação para
duas, para três, para trinta, e mais. Note que, depois de 30 ações,
a diversificação na maior parte é atingida. Há
ganhos enormes para diversificação além de uma ou duas
ações.
(Courtesia Campbell
Harvey)
IV. Markowitz e a Primeira Fronteira Eficiente
A primeira fronteira eficiente foi criada por Harry Markowitz, usando um punhado
de ações da New York Stock Exchange. Aqui está ela, reproduzida
do seu livro Portfolio Selection Cowles Monograph 16, Yale University
Press, 1959. Ela tem uma linha indo para a origem, porque Markowitz estava
interessado nos efeitos da combinação dos ativos de risco com
os sem risco: caixa.
Note, também, que é inclinado para o seu lado. A convenção do Desvio-Padrão sobre o eixo X é desenvolvida mais tarde.
V. Uma Fronteira Eficiente Real Hoje
Esta figura é uma fronteira eficiente criada dos depósitos históricos
dos U.S.A. e ativos internacionais durante o período de 1970 até
3/1995, usando o programa Ibbotson EnCorr Optimizer.
(Courtesia Ibbotson Associates)
Isto é o estado de arte da tecnologia de seleção de carteiras, entretanto ainda está baseado no programa de otimização original de Markowitz. Existem algumas características básicas para se lembrar:

(Courtesia Campbell Harvey)
Neste caso especial, a nova fronteira eficiente é um raio, estendendo de Rf ao ponto de tangência (M) com a fronteira "ativo de risco" eficiente, e daí por diante. Esta linha é chamada a Capital Market Line (CML). É de fato um conjunto de carteiras investíveis, se você pudesse pedir emprestado e emprestar à taxa sem risco! Todas as carteiras entre Rf e M são carteiras compostas de contas de tesouraria e M, enquanto todas as carteiras à direita de M são geradas PEDINDO EMPRESTADO à taxa sem risco Rf e investindo os rendimentos em M.
VII. Sumário
O modelo de Markowitz foi uma inovação brilhante na ciência
de seleção de carteira. Com quase um toque de mão desarmada,
Markowitz mostrou para nós que todas as informações necessárias
para escolher a melhor carteira para qualquer determinado nível de
risco está contido em três estatísticas simples: média,
desvio -padrão e correlação. Parece de repente que você
nem mesmo precisou de qualquer informação fundamental sobre
a empresa! O modelo não requer nenhuma informação sobre
política de dividendo, salários, ação de mercado,
estratégia, qualidade de administração--nada sobre a
miríade de coisas com que os analistas de Wall Street se interessam!
Em resumo, Harry Markowitz fundamentalmente alterou como as tomadas de decisões
de investimentoeram feitas. Virtualmente todo gerente de carteira principal
hoje consulta um programa de otimização. Eles podem não
seguir exatamente as suas recomendações, mas eles usam isto
para avaliar risco básico e o retorno de transações.
Por que todo o mundo não usa o modelo de Markowitz para resolver os
seus problemas de investimento? A resposta está novamente nas estatísticas.
O retorno médio histórico pode ser uma estimativa pobre do retorno
médio futuro. Quando você aumenta o número de títulos,
você aumenta o número de correlações que você
tem de calcular--e você os tem que calcular obter a resposta certa CORRETAMENTE.
Na realidade, com mais de 1.500 ações no NYSE, alguém
está certo em achar correlações que são largamente
inexatas. Infelizmente, o modelo não se trata bem com as contribuições
incorretas. Isso é por que é melhor aplicado a decisões
de distribuição por classes de ativos para as quais o número
de correlações é baixo, e os sumários estatísticos
são bem estimados.
© William N. Goetzmann